内容の正しさは自信ない。
のPDFファイルと同じ内容。食い違いがあったら、PDFファイルのほうが新しい。
指数関数と対数については、後日できれば書きたい。
1 共通する前提
内容の正しさは自信ない。特に数学記号の使い方。
これ以降、共通して用いる変数・関数
f (x), g(y), h(z):確率密度関数
X, Y, Z:確率変数
A:(確率変数ではない) 変数および定数
i, j, k, N, M, L:自然数
X = f (x), Y = g(y), Z = h(z)
特に断りがなければ、X,Y,Z は独立な確率変数
特に断りがなければ、x,y,z は独立な変数
2 確率変数X と 定数A の四則演算
2.1 和・足し算
Y = X + A のとき。g(y) = f (x − A) (y = x − A)
2.2 差・引き算
2.2.1 X-A
Y = X − A のとき。g(y) = f (x + A) (y = x + A)
2.2.2 A-X
Y = A − X のとき。g(y) = f (−x − A) (y = −x − A)
2.3 積・掛け算
Y = AX のとき。
確率密度関数f(x)が連続の場合、
g(y) = f(x/A) / A (y = x/A)
確率密度関数f(x)が離散値の場合、
g(y) = f(x/A) (y = x/A)
2.4 商・割り算
2.4.1 X/A
Y = X/A のとき。
確率密度関数f(x)が連続の場合、
g(y) = Af (Ax) (y = AX)
確率密度関数f(x)が連続の場合、
g(y) = f (Ax) (y = AX)
A で割るのではなく A の逆数をかけると考えることを推奨。
2.4.2 A/x
Y = A/X のとき。g(y) =??? ()
この章、何か重大な間違いをしているような気がする。
3 確率密度関数が連続値の確率変数 X,Y の四則演算
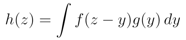
3.1 Z=X+Y
足し算だから、x,y,zの単位は共通でなければならないことに注意。
3.1.1 不定積分と-∞から∞までの定積分
![]()
-∞から∞までの定積分
![]()
3.1.2 定積分

(上の条件は、y0 ≤ y ≤ y1 を満たすすべてのyについて、 x0 + y ≤ z ≤ x1 + y が成り立つ場合
中間の条件は、 x0 + y ≤ z ≤ x1 + y が成り立つようなyが、y0 ≤ y ≤ y1に存在する場合
と言いたい)
3.2 Z=X-Y
引き算だから、x,y,z の単位は共通でなければならないことに留意。
3.2.1 不定積分と-∞から∞までの定積分
![]()
-∞から∞までの定積分
![]()
3.2.2 定積分

(上の条件は、y0 ≤ y ≤ y1 を満たすすべてのyについて、 x0 + y ≤ z ≤ x1 + y が成り立つ場合
中間の条件は、 x0 + y ≤ z ≤ x1 + y が成り立つようなyが、y0 ≤ y ≤ y1に存在する場合
と言いたい)
3.3 Z=XY
積の計算。
3.3.1 不定積分と-∞から∞までの定積分
![]()
-∞から∞までの定積分
![]()
3.3.2 定積分

(上の条件は、y0 ≤ y ≤ y1 を満たすすべてのyについて、 x0 + y ≤ z ≤ x1 + y が成り立つ場合
中間の条件は、 x0 + y ≤ z ≤ x1 + y が成り立つようなyが、y0 ≤ y ≤ y1に存在する場合
と言いたい)
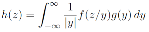
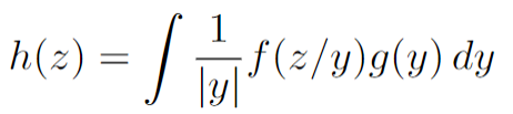
3.4 Z=X/Y
商の計算。
3.4.1 不定積分と-∞から∞までの定積分
![]()
-∞から∞までの定積分
![]()
3.4.2 定積分

(上の条件は、y0 ≤ y ≤ y1 を満たすすべてのyについて、 x0 + y ≤ z ≤ x1 + y が成り立つ場合
中間の条件は、 x0 + y ≤ z ≤ x1 + y が成り立つようなyが、y0 ≤ y ≤ y1に存在する場合
と言いたい)
4 確率密度関数が離散値の確率変数 X,Y の四則演算
確率変数 X,Y がともに離散値の時を考える章。
この章のそれぞれの節における共通事項の一覧。

4.1 Z=X+Y
![]()
4.2 Z=X-Y
![]()
4.3 Z=XY
![]()
4.4 Z=X/Y
![]()